martes, 15 de diciembre de 2009

Mapa conceptual de newton-rules


Condensadores eléctricos

En electricidad y electrónica, un condensador, capacitor o capacitador es un dispositivo que almacena energía eléctrica. Está formado por un par de superficies conductoras en situación de influencia total (esto es, que todas las líneas de campo eléctrico que parten de una van a parar a la otra), generalmente en forma de tablas, esferas o láminas, separados por un material dieléctrico. o por el vacío, que, sometidos a una diferencia de potencial adquieren una determinada carga eléctrica, positiva en una de las placas y negativa en la otra (siendo nula la carga total almacenada).

La carga almacenada en una de las placas es proporcional a la diferencia de potencial entre esta placa y la otra, siendo la constante de proporcionalidad la llamada capacidad. En el Sistema internacional de unidades se mide en Faradios (F).

El valor de la capacidad de un condensador viene definido por la siguiente fórmula:


en donde:
C: Capacidad
Q1: Carga eléctrica almacenada en la placa 1.
V1 − V2: Diferencia de potencial entre la placa 1 y la 2.
Nótese que en la definición de capacidad es indiferente que se considere la carga de la placa positiva o la de la negativa, ya que:



Energía almacenada

El condensador almacena energía eléctrica, debido a la presencia de un campo eléctrico en su interior, cuando aumenta la diferencia de potencial en sus terminales, devolviéndola cuando ésta disminuye. Su expresión viene dada por:



Comportamientos ideal y real
El condensador ideal puede definirse a partir de la siguiente ecuación diferencial:


donde C es la capacidad, u(t) es la función diferencia de potencial aplicada a sus terminales e i(t) la corriente resultante que circula.

Comportamiento en corriente continua
Un condensador real en CC se comporta prácticamente como uno ideal, esto es, como un circuito abierto. Esto es así en régimen permanente ya que en régimen transitorio, esto es, al conectar o desconectar un circuito con condensador, suceden fenómenos eléctricos transitorios que inciden sobre la d.d.p. en sus bornes.

Comportamiento en corriente alterna
En CA, un condensador ideal ofrece una resistencia al paso de la corriente que recibe el nombre de reactancia capacitiva, XC,

Asociaciones de condensadores
Al igual que las resistencias, los condensadores pueden asociarse en serie, paralelo o de forma mixta. En estos casos, la capacidad equivalente resulta ser para la asociación en serie:


y para la asociación en paralelo:


Es fácil demostrar estas dos expresiones, para la primera solo hay que tener en cuenta que la carga almacenada en las placas es la misma en ambos condensadores (se tiene que inducir la misma cantidad de carga entre las placas y por tanto cambia la diferencia de potencial para mantener la capacitancia de cada uno), y por otro lado en la asociación en "paralelo", se tiene que la diferencia de potencial entre ambas placas tiene que ser la misma (debido al modo en el que están conectados), así que cambiará la cantidad de carga. Como esta se encuentra en el numerador (C = Q / V) la suma de capacidades será simplemente la suma algebraica.




Problemas resueltos:

Campo eléctrico

El campo eléctrico es la interacción entre cuerpos y sistemas con propiedades de naturaleza eléctrica. Matemáticamente se describe como un campo vectorial en el cual una carga eléctrica puntual de valor q sufre los efectos de una fuerza eléctrica dada por la siguiente ecuación:

Los campos eléctricos pueden tener su origen tanto en cargas eléctricas como en campos magnéticos variables. Las primeras descripciones de los fenómenos eléctricos, como la ley de Coulomb, sólo tenían en cuenta las cargas eléctricas, pero las investigaciones de Michael Faraday y los estudios posteriores de James Clerk Maxwell permitieron establecer las leyes completas en las que también se tiene en cuenta la variación del campo magnético.


Definición mediante la ley de Coulomb

La ley de Coulomb que expresa que la interacción entre dos cargas.

El campo eléctrico es la distorsión que sufre el espacio debido a la presencia de una carga.


Ley de Gauss en un campo eléctrico

Para conocer una de las propiedades del campo eléctrico se estudia que ocurre con el flujo de éste al atravesar una superficie. El flujo de un campo Φ se lo obtiene de la siguiente manera:

donde "da" es el diferencial de área en dirección normal a la superficie. Aplicando la ecuación en y analizando el flujo a través de una superficie cerrada se encuentra que:

donde Qenc es la carga encerrada en esa superficie. La ecuación es conocida como la ley integral de Gauss y su forma derivada es:


donde ρ es la densidad volumétrica de carga. Esto indica que el campo eléctrico diverge hacia una distribución de carga; en otras palabras, que el campo eléctrico comienza en una carga y termina en otra.
Esta idea puede ser visualizada mediante el concepto de lineas de campo. Si se tiene una carga en un punto, el campo eléctrico estaría dirigido hacia la otra carga.

Líneas de campo

Un campo eléctrico estático puede ser representado geométricamente con líneas vectoriales en dirección de la variación del campo, a estas líneas se las conoce como "líneas de campo". Las líneas vectoriales se utilizan para crear una representación gráfica del campo, y pueden ser tantas como sea necesario visualizar.
Las líneas de campo son líneas perpendiculares a la superficie del cuerpo, de manera que su tangente geométrica en un punto coincide con la dirección del campo en ese punto. Esto es una consecuencia directa de la ley de Gauss, es decir encontramos que la mayor variación direccional en el campo se dirige perpendicularmente a la carga. Al unir los puntos en los que el campo eléctrico es de igual magnitud, se obtiene lo que se conoce como superficies equipotenciales, son aquellas donde el potencial tiene el mismo valor numérico.

Ley de Faraday

Michael Faraday realizó una serie de experimentos que lo llevaron a determinar que los cambios temporales en el campo magnético inducen un campo eléctrico. Esto se conoce como la ley de Faraday. La fuerza electromotriz, definida como el rotacional a través de un diferencial de línea esta determinado se la expresa así:

donde el signo menos indica la Ley de Lenz y Φ es el flujo magnético en una superficie, determinada por:

reemplazando las dos ecuaciones anetriores, se obtiene la ecuación integral de la ley de Faraday:

Fuente: http://es.wikipedia.org/wiki/Campo_el%C3%A9ctrico

Problemas resueltos:

http://exa.unne.edu.ar/depar/areas/fisica/electymagne/TEORIA/examenes/electro/electro.htm

lunes, 14 de diciembre de 2009

Ley de Gauss

La ley de Gauss relaciona el flujo eléctrico a través de una superficie cerrada y la carga eléctrica encerrada en esta superficie.

Flujo eléctrico:
El flujo (denotado como Φ) es una propiedad de cualquier campo vectorial referida a una superficie hipotética que puede ser cerrada o abierta. Para un campo eléctrico, el flujo (ΦE) se mide por el número de líneas de fuerza que atraviesan la superficie.




Flujo para una superficie cilíndrica colocada en un campo uniforme:
El flujo ΦE puede escribirse como la suma de tres términos, (a) una integral en la tapa izquierda del cilindro, (b) una integral en la superficie cilíndrica y (c) una integral en la tapa derecha.


Flujo de la tapa izquierda:
Flujode la tapa derecha:

Flujo de la superficie cilíndrica:

Fluja total:


Flujo para una superficie esférica con una carga puntual en su interior:
Considérese una superficie esférica de radio r con una carga puntual q en su centro tal como muestra la figura. El campo eléctrico es paralelo al vector superficie , y el campo es constante en todos los puntos de la superficie esférica.



Forma integral de la ley de Gauss

Distribución esférica de carga
Considérese una esfera uniformemente cargada de radio R. La carga existente en el interior de una superficie esférica de radio r es una parte de la carga total, que se calcula multiplicando la densidad de carga por el volumen de la esfera de radio r:




Si Q es la carga de la esfera de radio R, entonces, se tiene:

Dividiendo miembro a miembro ambas expresiones y operando apropiadamente:


Con lo visto anteriormente sabesmos que:

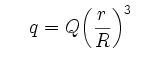
Por lo tanto, para puntos interiores de la esfera:

Y para puntos exteriores:


Poblemas resueltos:

Campo magnético

El campo magnético es una región del espacio en la cual una carga eléctrica puntual de valor q que se desplaza a una velocidad , sufre los efectos de una fuerza que es perpendicular y proporcional tanto a la velocidad como al campo, llamadainducción magnética o densidad de flujo magnético. Así, dicha carga percibirá una fuerza descrita con la siguiente igualdad:

Un campo magnético tiene dos fuentes que lo originan. Una de ellas es una corriente eléctrica de conducción, que da lugar a un campo magnético estático. Por otro lado una corrient de desplazamiento origina un campo magnético variante en el tiempo, incluso aunque aquella sea estacionaria.

Campo magnético producido por una carga puntual:




El campo magnético para cargas que se mueven a velocidades pequeñas comparadas con velocidad de la luz, puede representarse por un campo vectorial. Sea una carga eléctrica de prueba q0 en un punto P de una región del espacio moviéndose a una cierta velocidad arbitraria v respecto a un cierto observador que no detecte campo eléctrico. Si el observador detecta una deflexión de la trayectoria de la partícula entonces en esa región existe un campo magnético. El valor o intensidad de dicho campo magnético puede medirse mediante el llamado vector de inducción magnética B, que estará relacionado con la fuerza F y la velocidad v medida por dicho observador en el punto P: Si se varía la dirección de v por P, sin cambiar su magnitud, se encuentra, en general, que la magnitud de F varía, si bien se conserva perpendicular a v . A partir de la observación de una pequeña carga eléctrica de prueba puede determinarse la dirección y módulo de dicho vector del siguiente modo:

  • La dirección del "campo magnético" se define operacionalmente del siguiente modo. Para una cierta dirección y sentido de v, la fuerza F se anula. Se define esta dirección como la de B.
  • Una vez encontrada esta dirección el módulo del "campo magnético" puede encontrarse fácilmente ya que es posible orientar a v de tal manera que la carga de prueba se desplace perpendicularmente a B. Se encuentra, entonces, que la F es máxima y se define la magnitud de B determinando el valor de esa fuerza máxima:


Colección de problemas resueltos:

sábado, 12 de diciembre de 2009

Cinemática

La cinemática es la rama de la mecánica clásica que estudia las leyes del movimiento de los cuerpos sin tener en cuenta las causas que lo producen, limitándose esencialmente, al estudio de la trayectoria en función del tiempo.
En la cinemática se utiliza un sistema de coordenadas para describir las trayectorias, denominado sistema de referencia. La velocidad es el ritmo con que cambia la posición un cuerpo. La aceleración es el ritmo con que cambia su velocidad. La velocidad y la aceleración son las dos principales cantidades que describen cómo cambia su posición en función del tiempo.

El movimiento trazado por una partícula lo mide un observador respecto a un sistema de referencia. Desde el punto de vista matemático, la cinemática expresa cómo varían las coordenadas de posición de la partícula en función del tiempo. La función que describe la trayectoria recorrida por el cuerpo depende de la velocidad y de la aceleración. El movimiento de una partícula se puede describir según los valores de velocidad y aceleración, que son magnitudes vectoriales.


  • Si la aceleración es nula, da lugar a un movimiento rectilíneo uniforme (MRU) y la velocidad permanece constante a lo largo del tiempo.
  • Si la aceleración es constante con igual dirección que la velocidad, da lugar al movimiento rectilíneo uniformemente acelerado (MRUA) y la velocidad variará a lo largo del tiempo.
  • Si la aceleración es constante con dirección perpendicular a la velocidad, da lugar al movimiento ciruclar uniforme (MCU), donde el módulo de la velocidad es constante, cambiando su dirección con el tiempo.
  • Cuando la aceleración es constante y está en el mismo plano que la velocidad y la trayectoria, tenemos el caso del movimiento parabólico, donde la componente de la velocidad en la dirección de la aceleración se comporta como un movimiento rectilíneo uniformemente acelerado, y la componente perpendicular se comporta como un movimiento rectilíneo uniforme, generándose una trayectoria parabólica al componer ambas.
  • Movimiento armónico simple: Es un movimiento periódico de vaivén, en el que un cuerpo oscila a un lado y a otro de una posición de equilibrio en una dirección determinada y en intervalos iguales de tiempo.
FÓRMULAS

(Para ver mejor la tabla con las fórmulas pinchar encima)


Fuente: http://es.wikipedia.org/wiki/Cinem%C3%A1tica

Problemas resueltos de cinemática:
Aqui podreis encontrar diversos problemas sobre cinemática que vienen con la solución.
http://www.sc.ehu.es/sbweb/fisica/examenes/cinematica/cinematica.htm